politrash
понедельник, 5 ноября 2012 г.
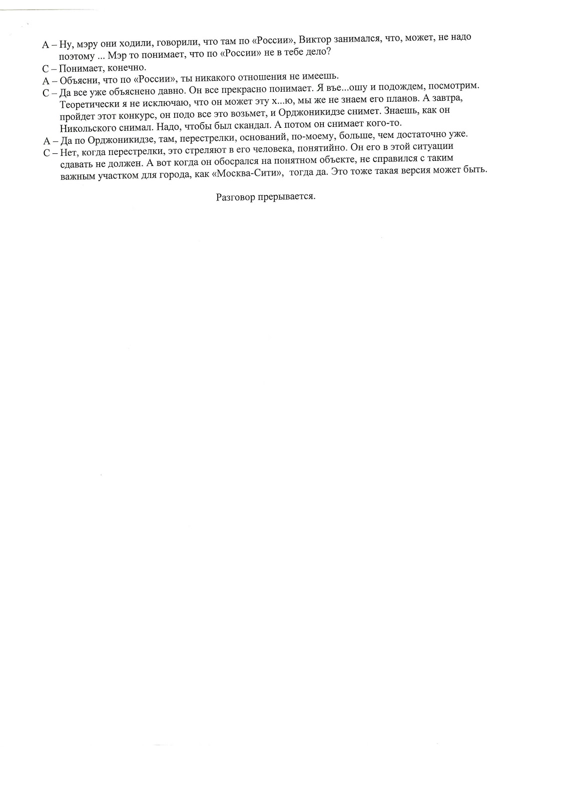
Пару слов о любви А.Лебедева к чужим "тайнам".
Бывший офицер КГБ Лебедев очень любит собирать компромат на политиков.
P.S. А мне нравится собирать компромат на Лебедева
теги: Лебедев компромат, Дмитрий Муратов, олигарх Лебедев, банкир Лебедев, Александр Лебедев, politrash2012, politrash, Новая газета, Леонид Невзлин, кто финансирует новую газету.
Комментариев нет:
Отправить комментарий
Следующее
Предыдущее
Главная страница
Подписаться на:
Комментарии к сообщению (Atom)
Комментариев нет:
Отправить комментарий